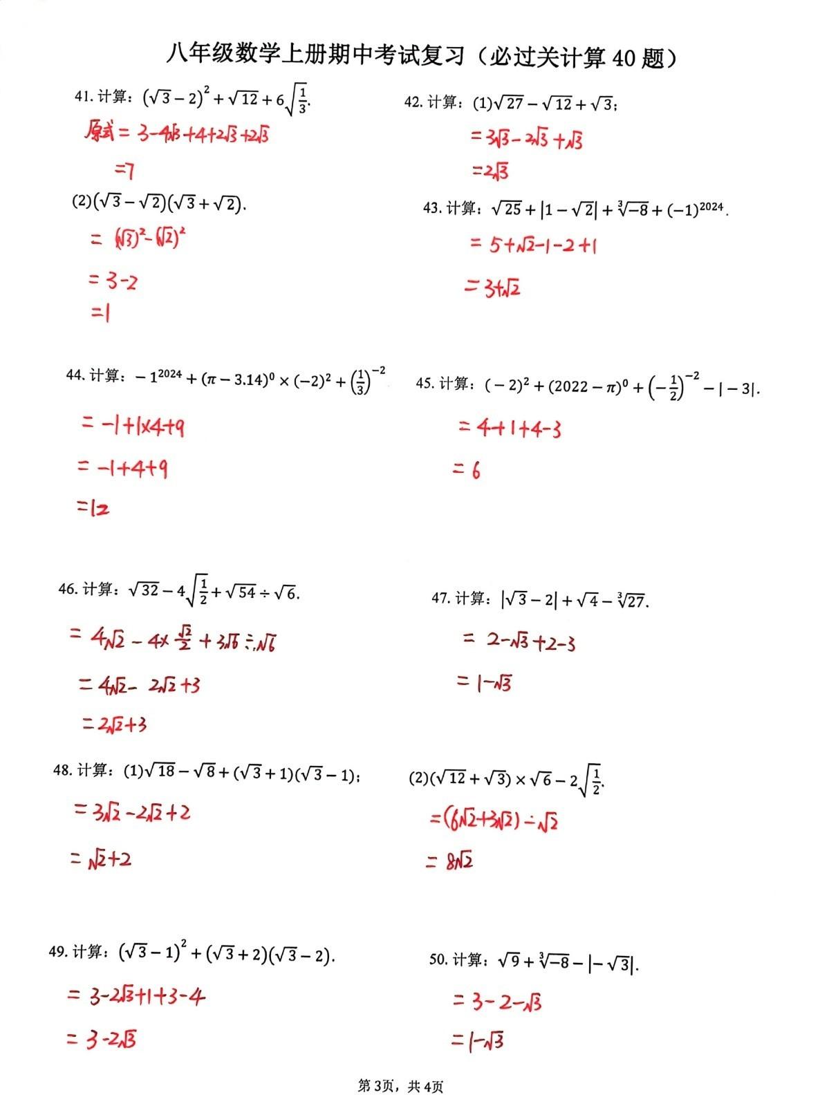
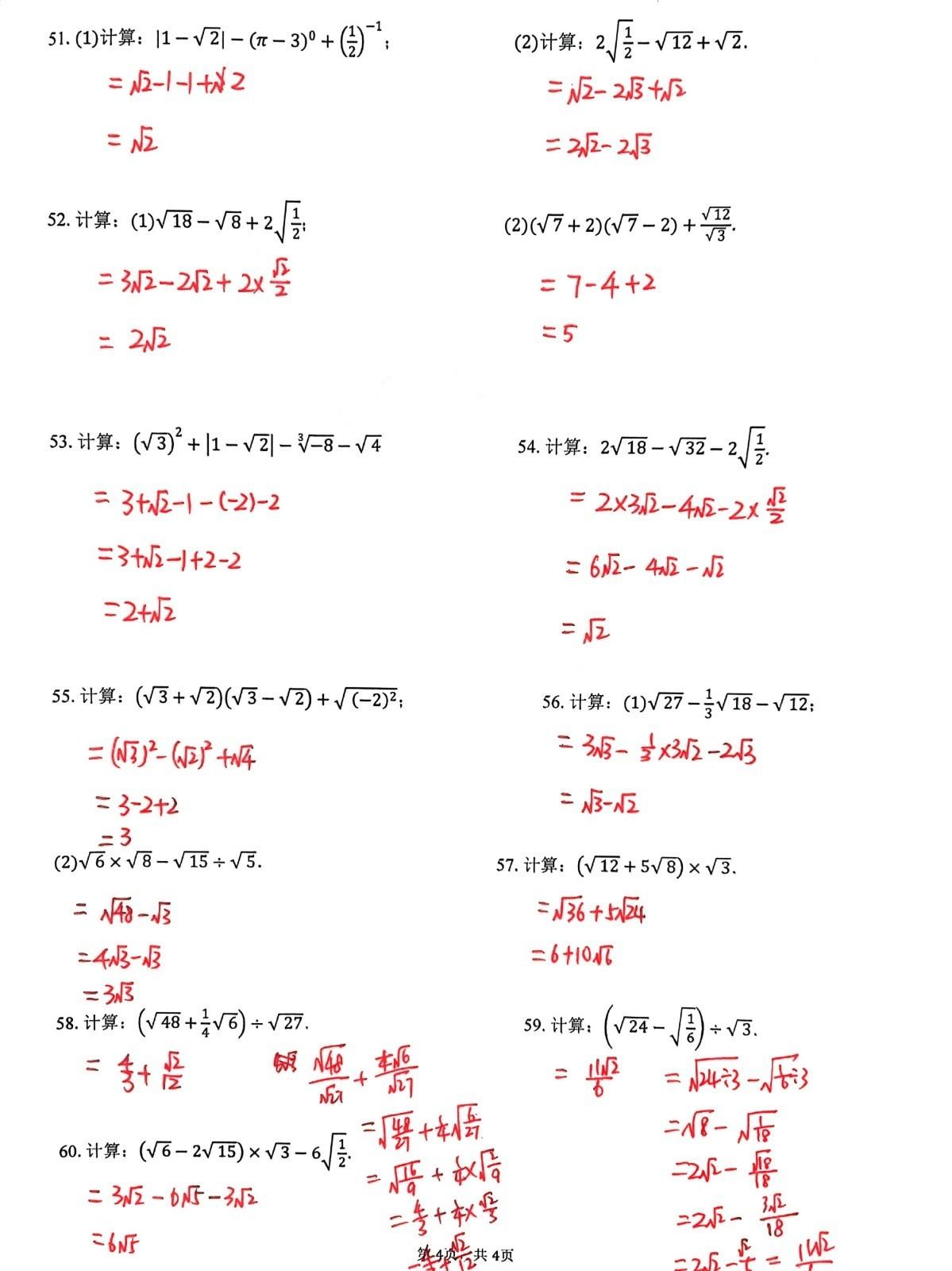
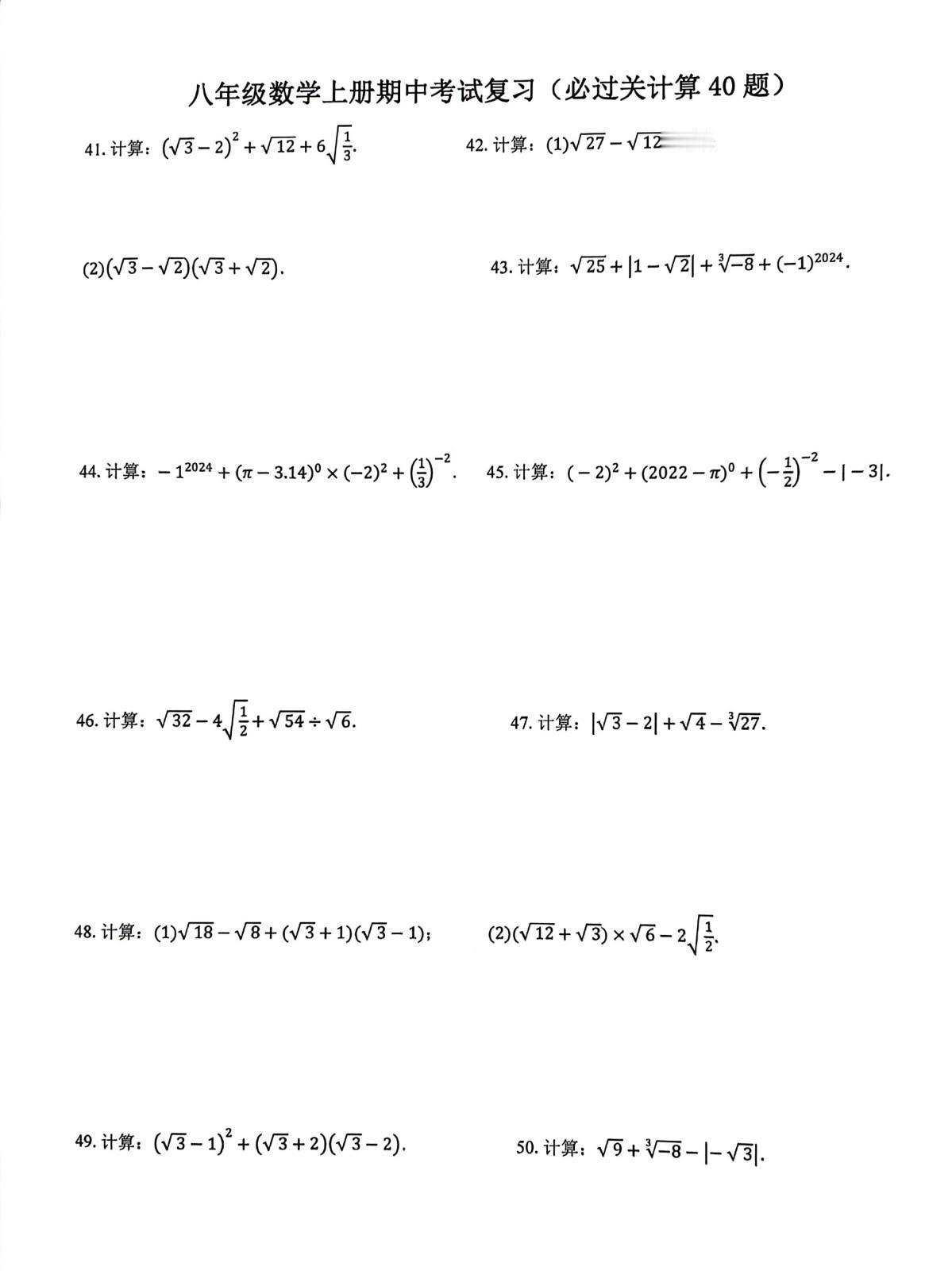
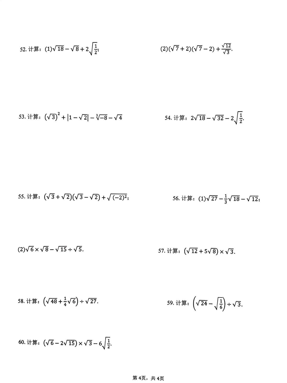
途虫数学精品数学试卷分享,数学基础差,就弄懂这40道填空题和40道计算题,北师大版初中数学上册其中考试的基本考点都在这里了,对于基础薄弱的学生,这样的试卷尤其重要。数学必练题 必会数学题 初中数学









途虫数学精品数学试卷分享,数学基础差,就弄懂这40道填空题和40道计算题,北师大版初中数学上册其中考试的基本考点都在这里了,对于基础薄弱的学生,这样的试卷尤其重要。数学必练题 必会数学题 初中数学









猜你喜欢
【3评论】【11点赞】
【55评论】【37点赞】
【6评论】【8点赞】
【166评论】【220点赞】
【8评论】【7点赞】
【17评论】【15点赞】
作者最新文章
热门分类
教育TOP
教育最新文章