

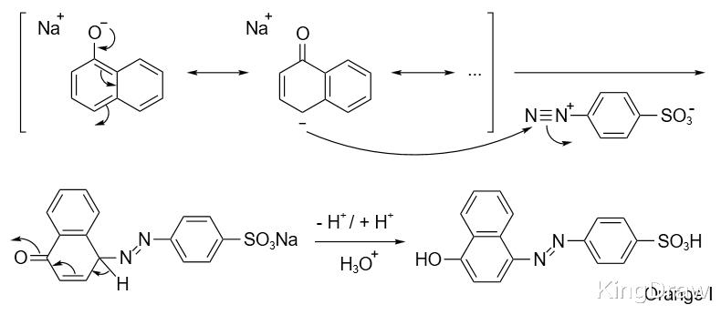
重氮偶联反应,是芳香重氮盐类和电荷密度高的芳香族化合物发生偶联反应,生成偶氮化合物的反应,在染料、色淀和色素生产方面是一个应用非常广泛的反应。在此反应中芳基偶氮离子作为亲电试剂对活性芳烃(如苯胺或苯酚)进行亲电取代得到二芳基偶氮化合物。
取代通常发生在对位,当对位有取代基时,则发生在邻位。此反应中pH非常重要,反应必须在弱酸性、弱碱性或中性条件下进行,一般酚偶合时,在弱碱性条件下进行,此条件下酚是以氧负离子形式存在,氧负离子是更强的亲电取代活化基团。芳胺偶合则在弱酸性条件下,此条件下可以防止胺的氮和偶氮化合物偶联。
反应机理:1. 重氮盐的生成
芳香伯胺(如苯胺)在低温(0~5℃)和强酸性(通常为HCl或H₂SO₄)条件下与亚硝酸钠(NaNO₂)反应,生成重氮盐(如苯重氮盐)。重氮盐(Ar–N≡N⁺)具有强亲电性,但热力学不稳定,需低温保存以防分解。
2. 偶联反应的亲电进攻
重氮盐作为亲电试剂,进攻富电子芳香环(如酚、芳胺)的邻、对位,发生亲电取代:
● 酚类:偶联优先发生在羟基(–OH)的对位;若对位被占据,则发生在邻位。
● 芳胺类:偶联优先发生在氨基(–NH₂)的对位或邻位,具体取决于取代基的空间位阻。


Synthesis and properties of bis(hetaryl)azo dyes
M. Wang, K. Funabiki, M. Matsui, Dyes and Pigments, 2003, 57, 77-86.
内容来源:https://www.organic-chemistry.org

评论列表