

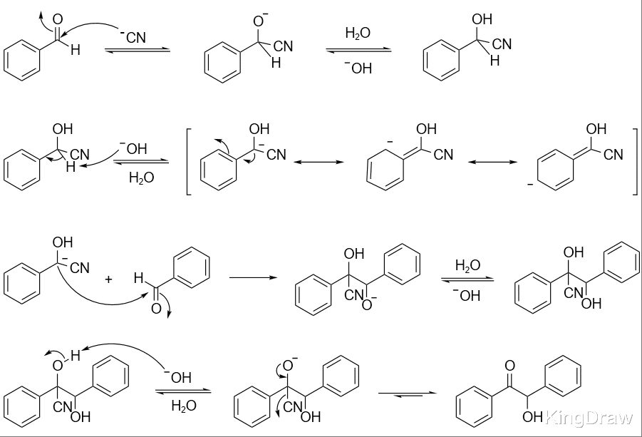
安息香缩合反应,又称苯偶姻缩合,是氰离子(或维生素 B 衍生物等氮杂环卡宾类化合物)催化下两分子芳香醛进行缩合生成一个偶姻分子的反应,由于生成物是安息香的衍生物而得名。具有安息香结构的底物在催化下亦可发生逆安息香缩合。安息香缩合是羰基极性转换的一个典型例子,其相反过程叫做 Retro-Benzoin 缩合,通常用来合成酮。
反应机理:首先是氰负离子对羰基进行亲核加成,使羰基发生极性转换,形成氰醇负离子。由于氰基不仅是良好的亲核试剂和易于离去的基团,而且具有很强的吸电子能力,所以连有氰基的碳原子上氢酸性很强,在碱性介质中立即形成氰醇碳负离子,被氰基和芳基组成的共轭体系所稳定。其次是氰醇碳负离子向另一分子的芳醛进行亲核加成,初始加成物经质子迁移后再脱去氰基,生成 α-羟基酮。该反应的限速步骤是氰醇碳负离子向另一分子芳醛进行的亲核加成反应。


内容来源:https://www.organic-chemistry.org
