导语
从精密的医疗设备到炫酷的娱乐投影,从工业制造的切割焊接到机器视觉的动态测量,激光(Lasers)早已成为现代科技不可或缺的“光之利刃”。
然而,面对市面上琳琅满目的激光器产品,你是否真正了解它们背后的工作原理?在实际应用中,光束发散角、信噪比、指向精度这些参数又该如何考量?半导体激光二极管和传统的氦氖(HeNe)激光器,到底哪一个更适合你的项目?
今天,我们将从核心参数、关键配件、安装对准以及选型对比四个维度,带你重新梳理激光系统的底层逻辑。满满干货,建议先收藏再阅读!
01.重新认识激光:它是如何工作的?
激光的本质,是产生高度相干、方向性强且单色的光束。
任何激光器的基本结构都离不开一个核心:增益介质(气体或半导体),它被放置在多个反射镜之间。通过一种称为“受激辐射”的过程,光在介质中反复振荡,能量在每一次穿过时不断相干积累。最终,激光辐射通过组件中部分反射的反射镜发射出来,成为我们看到的那束光。

02.读懂规格书:决定激光器性能的7大核心参数
在选购或使用激光器时,规格书上的参数往往决定了它能否胜任你的应用场景。以下7个关键指标,工程师必须烂熟于心:
1.光束直径(Beam Diameter)
光束直径通常在激光器外壳的出口端面测量。对于最常见的高斯光束,我们通常用1/e²宽度来定义它——即边缘分布上强度为最大强度值1/e²(约0.135倍)的两个点之间的距离。
2.光束发散角(Beam Divergence)
理想的激光是平行的,但现实中所有激光束都会随着距离的增加而产生一定程度的发散。发散角通常用全角表示。
注意: 在半导体激光二极管中,由于存在像散现象,发散角通常需要用两个值(X轴和Y轴)来指定方向。

激光二极管的固有结构决定了其输出光束通常呈椭圆形
3.扇角(Fan Angle)
如果你使用了线发生器或图案发生器配件,扇角就是这些配件产生的角度,它决定了激光线在特定距离下的覆盖范围。
4.输出功率(Output Power)
这是指激光离开外壳后的最大功率值(未经过外部光学元件衰减前)。通常标称值有 +/-10% 的容差。高斯光束的中心强度最高,向外呈辐射状递减。
5.安全等级(Class)
根据CDRH(设备和放射健康中心)标准,激光器按辐射量分为不同安全等级:
• Class 1 / 1M:基本无害 / 不使用光学仪器放大时安全。
• Class 2 / 2M:意外照射 < 0.25秒安全(人眼的自然眨眼反射可防止损伤)。
• Class 3R / 3B:存在危险,3B级需避免直视,但观察漫反射是安全的。
• Class 4:高度危险!直视或观察漫反射均有危险,且存在火灾隐患。
6.可探测性/可见度(Detectability/Visibility)
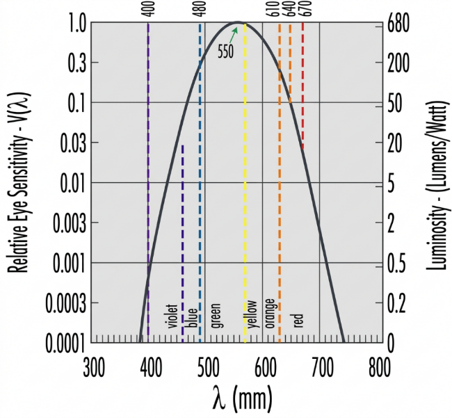
激光光斑的可见度取决于信噪比(SNR)。SNR越高,光斑越容易被探测。
• 视觉应用:波长越接近550nm(绿色),人眼感觉越亮。
• 探测器应用:建议使用滤波片提高SNR,并选择与探测器响应度最匹配的激光波长。

人眼相对光谱灵敏度
7.寿命(Lifetime)
想让激光器活得久一点?散热是关键!建议在尽可能低的电压下运行电源,并在接近最大电压时务必使用散热器。将二极管保持在工作温度范围的下限,可显著延长其寿命(通常二极管模块的寿命在 10,000 到 20,000 小时之间)。
03.让激光如虎添翼:不可忽视的配件系统
裸机往往无法满足复杂的应用需求,合理的配件搭配能让激光系统发挥最大效能:
• 图案发生器(Pattern Generators):安装在输出端,可生成单线、十字线、多条线甚至点阵,是机器视觉的得力助手。

• 空间滤波器(Spatial Filters):用于消除空间噪声。通过将光束聚焦到针孔上,只保留中心峰值的强度图案,输出极其纯净的高斯光束。

• 激光级光学元件(Laser Optics):高功率激光对镜片的表面质量和镀膜要求极高!表面划痕或麻点处的局部加热和电场集中,极易导致镜片损坏。

• 扩束镜(Beam Expanders):不仅能放大光束直径,更能按放大倍数成比例减小发散角,这对于长距离传输应用具有巨大优势。

04.进阶技巧:安装与光束对准的“潜规则”
安装选择:半导体二极管通常使用带有球窝瞄准调节的二极管安装座;而传统的氦氖(HeNe)激光器则更适合V型块底座或双环公制激光支架。再次强调,温度敏感的二极管必须配备散热器!
指向精度(Pointing Accuracy):所有激光器都存在指向精度误差——即光束传播轴与外壳机械轴之间的角度差。
工程师小贴士:如何测量指向精度?将激光器放在V型块上旋转外壳,光斑会在远处画出一个圆。通过测量距离D和圆的半径R,即可计算出误差角度,从而在安装时进行补偿。

激光指向精度误差
05.终极对决:半导体二极管vs氦氖(HeNe)激光器
“我到底该选二极管还是氦氖激光器?”这是工程师最常问的问题。没有绝对的好坏,只有最适合的应用。我们为您总结了核心差异:

总结来说:如果你在做全息摄影或高精度干涉测量,需要极长的相干长度和完美的圆形光束,氦氖激光器是无可替代的选择。
如果你从事的是机器视觉、工业对准或空间受限的设备集成,且需要特定的波长或调制功能,半导体激光二极管凭借其高性价比和小体积,将是你的不二之选。
结语
激光系统的搭建是一门严谨的科学。从理解1/e²光束直径,到把控指向精度,再到在HeNe与Diode之间做出正确抉择,每一个参数的确认都关乎最终设备的稳定性和精度。
希望这篇指南能为你拨开激光选型的迷雾。在光学的世界里,精准,永远是第一生产力。
【行动号召】
你的项目正在面临激光选型难题吗?
欢迎在评论区留下你的疑问
如果你觉得这篇文章对你有帮助,别忘了点赞并转发给团队里的工程师伙伴们!