

Baeyer-Villiger 氧化,是酮在过氧化物(如过氧化氢、过氧化羧酸等)氧化下,在羰基和一个邻近烃基之间引入一个氧原子,得到相应的酯的化学反应。醛可以进行同样的反应,氧化的产物是相应的羧酸。反应中迁移基团的立体化学保持不变,并且反应具有一定的区域选择性,因此它在有机合成中对官能团转化和环扩张有重要意义。
前示反应使用间氯过氧化苯甲酸作为氧化剂,其他常用的氧化剂还包括过氧化乙酸、过氧化三氟乙酸等。为避免生成的酯在酸性条件下发生酯交换反应,常在反应物中加入磷酸氢二钠,以保持溶液接近中性。
环酮发生反应得到内酯。

大多数富电子(取代较多的碳)的基团优先迁移。一般的迁移顺序是:叔碳>环己基> 仲碳 > 苄基 >苯基 >伯碳 > 甲基 >> H。
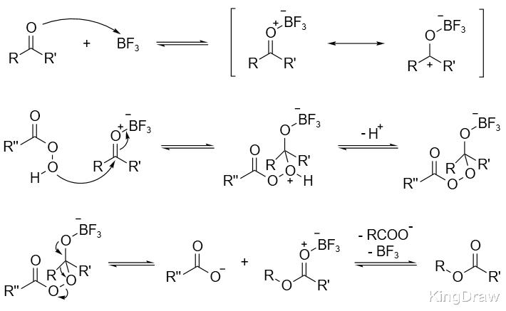
反应机理:从表面上看来,该反应仅是一个氧原子对碳-碳键进行的插入反应。事实上,该反应是一个典型的1,2-迁移反应,其机制与霍夫曼重排、频纳醇重排等是类似的。
首先,反应物的羰基被质子活化,从而易于接受过氧酸的亲核进攻。亲核加成的产物中带有一个氧鎓离子,其质子将较容易转移到邻近的氧原子上,并通过正电荷与羰基共轭而获得额外的稳定性。随后,与原来过氧酸对应的羧酸从中间体离去,留下一个缺电子的氧正离子。由于氧具有很高的电负性,缺电子的氧是不稳定的,一个烃基就通过1,2-迁移反应使整个分子再度符合八隅律规则,得到一个质子化的酯,并很快脱去质子而得到最终产物。通常认为羧酸的离去与烃基的迁移是同时进行,相互促进的。


内容来源:https://www.organic-chemistry.org
