寻根滕州:探秘“无孙不成村”的孙姓聚集地
走在滕州乡村,常能听到一句老话——“无孙不成村”。这个位于山东南部的县级市,不仅是古代“三国五邑”之地,更是孙姓宗亲的重要聚集地。这片土地上散落着众多以“孙”命名的村落,每一个村庄背后都承载着一段跨越数百年的迁徙史与家族记忆。

滕州市,山东省辖县级市,由枣庄市代管。东与山亭区毗邻,西与济宁市微山县交界,南与薛城区相连,北和济宁市邹城市接壤。
滕始于黄帝,因境内泉水“腾涌”而得名。
秦于今滕境置滕县、薛县。滕,作为县名始见于史册。
西汉初,高祖析小邾置蕃县,隋开皇六年(586年),改蕃县为滕县。
金大定二十二年(1182年),金置滕阳州。大定二十四年(1184年),改为滕州(滕州名字最早的起源),辖滕、沛、邹县和陶阳镇,属山东西路。

明洪武二年(1369年),废除滕州改为滕县,滕县隶属山东布政使司济宁府。县下设乡,乡下置社,全县划分为6乡、59社。洪武十八年(1385年),升兖州为府,降济宁为州,滕县改属兖州府。正统年间(1436—1449年),增加到9乡、87社。

清康熙十一年(1672年),改用保甲法,用八卦名统领72保。康熙二十七年(1688年),将八卦名称改为仁、义、礼、智、孝、悌、忠、信。宣统年间,全县设15个乡,但未及实施清朝灭亡。

民国初年,沿袭清制。民国七年(1918年),改社为区,全县为72个区、1652个村。民国二十年(1931年),全县并为9个区。

截至2022年10月,滕州市下辖5个街道、16个镇:龙泉街道、北辛街道、荆河街道、善南街道、东沙河街道、洪绪镇、姜屯镇、级索镇、南沙河镇、木石镇、鲍沟镇、龙阳镇、东郭镇、官桥镇、大坞镇、界河镇、滨湖镇、西岗镇、张汪镇、羊庄镇、柴胡店镇。滕州市驻北辛街道北辛中路。

滕州的孙姓人口分布广泛而密集,几乎每个乡镇都能找到孙姓族人的身影。从北辛街道的孙庄,到荆河街道的孙楼街,再到姜屯镇的孙村,这些直接以“孙”命名的村庄直观体现了孙姓在当地的社会影响力。
龙泉街道、北辛街道、荆河街道、善南街道、东沙河街道、高庄,位于滕州南2.5公里处。明洪武二年(1369年),孙氏由山西洪洞县迁此定居,继有高氏迁入,共议村名高家庄,今称高庄。
孙庄,位于滕州北4公里处。清光绪二十年(1894年),孙氏迁此建村,名孙家庄,今称孙庄。
孙堂村,位于滕州东4公里,东与东沙河镇史楼村隔河相望。明万历年间(1573-1620年),王氏由王家堂迁此建村。因处郭河及其故道之间,故名夹河滩。后孙氏迁入,更名孙家堂。今称孙堂。
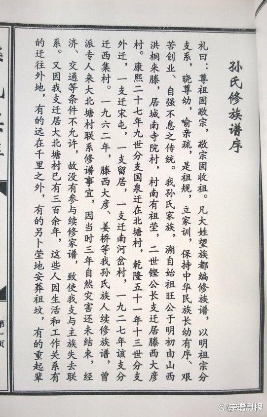
西寺院村,是滕州市荆河街道办事处下辖的行政村。在城南奶奶庙西侧始建村,名为西寺院。历代志书和碑碣把西寺院称为寺院村、赐宴村、四言村。1990年改称为西寺院街。当地很多中年人老年人仍称呼为赐宴村。明朝洪武初年,孙旺由山西洪洞迁民来滕,住城南寺院村,为古滕(滕州市)寺院村孙氏一世祖。孙旺生两子,分别为:铎与键,铎生一子:谦,谦生三子,分别是:步赢(孙寨)步武(韩桥)步月(姜桥),键生三子:分迁至大彦、前殿、官桥。
孙楼街,位于滕州西北部,东起蕃阳街,西至小黑河。明中期(1460-1552年),为城北孙楼富户所设的外庄子,称小孙楼。清咸丰七年(1857年),刘氏由刘岗迁入,沿用原名,简称孙楼,1990年,因与市区联体,更名孙楼街。
洪绪镇幸福坝,位于洪绪镇政府驻地北偏东北1.9千米,此处原系大彦富户孙氏之庄园,清顺治年间(1644-1661年),王氏由盖村迁此为佃,名孙庄。1964年滕县政府于村北城河筑拦水坝,名幸福坝,村名亦改称幸福坝。
姜屯镇大彦村,位于姜屯镇东部,与五里屯相领,离市城较近,主要发展钢材市场,是2300多年前滕国的发祥地。据孙姓家谱记载,孙姓家族,溯自始祖旺公于明初由山西洪洞来滕,居城南寺院村,村南有祖茔,二世铿公长支迁居滕西大彦村。孙姓字辈:兰本清作友崇高若良贵荣茂显光伟培厚育永昌。
孙村,以姓氏命名,本村孙姓居民居多。
胡村,本村有孙、胡、张等姓。孙姓字辈:福朝建景。
级索镇东王晁,位于级索西5.5公里,级索煤矿所在地。据《秦氏族谱》记载:“吾祖于元末自沛来滕西王晁村,明初又从王晁迁此落户,本村原名东孙庄,在清末改为东王晁,沿用至今。 本村有孙、王等姓。
西王晁,位于级索西部6公里,北沙河南岸。据《孙氏家谱》记载:“吾祖于明初迁后王晁村西落户居业”,清代中叶,自主为村,名西孙庄村,民国初年,改称西王晁,现隶属于后王晁。
韩桥村,位于山东省枣庄滕州市级索镇驻地西南5公里处。明代村南原有通利桥,万历八年(公元1580年)韩氏重建,改称韩桥,村遂以桥定名。西有韩堌堆,解放后并为一个行政村,1982年更名为西韩桥,建有村委会。为四世步月族后人,字辈排序为:德(兰)、盛(顺)、清、作、友。
南沙河镇孙庄,位于南沙河南街北部2.7公里处。南邻郭河。清咸丰年间(1831—1860年),孙氏由大彦辗转迁此建村,名孙庄。
木石镇后木石,后木石位于前木石北0.5公里,蟠龙山西麓。元大德年间(1297-1307年),孙、石、刘、唐、朱五姓居此成村,明末(1628--1644年),以居目夷亭侧,改称木时,后演为木石,清乾隆年间(1736-1795年),改称后木石。
鲍沟镇孙岗,位于鲍沟东南6.5公里,东与官桥镇、南与张汪镇接壤。明洪武六年(1373年),孙氏自登州迁此建村,因村处岗上,故名孙家岗,今称孙岗。山东滕州官桥孙氏,始祖孙斌,原籍登州文登县,其先祖思孝公于元末因平倭有功,授千户职,小宅登州及登。至孙斌,明洪武六年,以人才授沛令,卸任卜居滕阳迎仙乡,今孙岗村,子孙繁衍遍布滕阳,后世尊斌公为始祖。
东宁村,很早以前就形成村落,明代之前村庄名已无考,明初有宁直和宁良考中举人而立有牌坊(宁直为凌云坊,宁良为登云坊)坐落于村间,名曰:东坊村。明中期宁氏家族较大,改名宁家村。宁氏至明末崇祯十五年壬午兵燹后或逃亡或避祸迁出,至此宁家村宁氏走向没落。继有高氏迁来定居(高氏族谱记载:明末迁居宁家村)并繁衍至今,其中高氏占70%人口,并有王,赵,朱,张,孙,吴,宋,韩等姓氏。1984年析立两村,本村居东,易名为东宁村。
龙阳镇西朱仇村,位于龙阳东北2.8公里,东隔北沙河与东郭镇东朱仇相望。宋末此处即有村庄,名千家店。明初(1368—1398年),村遭水患,居民散居于沙河两岸之土丘高坡上,改村名为诸丘;清康熙年间(1622—1722年),朱氏自山西省迁入,更为朱仇,后以河为界分东、西二村,本村为西朱仇。孙姓字辈有延字辈等。
东郭镇武楼村,东郭中村西700米,东郭至党山公路南侧。元末(1333—1368年),韩氏兄弟二人由山西省迁此建村,因东近东郭,取村名为西郭。明代(1368—1644年),陈氏自山西省迁入定居,后陈氏移居村西另立新村,名西郭。原西郭村之韩、孙、武等姓分称韩庄、武楼、孙围子。清道光年间(1821—1850年)统称韩庄,1982年因重名,更为武楼。
巴庄村,位于东郭中村西南6.2公里,西与龙阳镇杜沙土为邻。清光绪三十四年(1908年),巴氏迁此建村,名巴家庄,后孙、刘二氏相继迁入,仍用原名,今称巴庄。
官桥镇官桥村,该村东依丰山,南临小魏河,小魏河经丰山后在官桥村汇入薛河。春秋战国时期称“迎仙村”,本村孙姓居民居多。
太平庄,本村孙姓居民居多。
大康留,本村有孙、任等姓。西康留村孙氏字辈:景开延际运,修德庆家昌,安乐启大祚,诗书培厚良,之振绍维士,文兴利(桂、瑞)代(贵)长。
大坞镇小市庄,位于大坞东2公里。明万历年间(1573—1620年),孙氏由奎子来柿庄西南里许建村,随成柿庄,明末更为小市庄,1813年称前市庄,1913年复名小市庄。
界河镇孙马厂,位于南界河南5.2公里,京福公路西侧。 相传,唐代薛礼东征路经于此,并在该处安营扎寨,放牧战马,故此地带俗呼马场,明洪武年间(1368—1398年),孙氏迁来马场附近建村,名孙家马场,后渐演为孙马厂,1944—1956年曾隶属凫山县。
滨湖镇奎子村,位于岗头南2.3公里,济微公路西侧。春秋鲁隐公元年(公元前722年),费伯封于郎邑,曾于此设兵器库,俗称库子;明洪武二年(1369年),孙氏迁此建村,因处奎星河内侧,故名奎子。奎子孙氏,其顺堂,孙姓字辈:遇奉处厚延卓彦希繁式慎修守家训文学自长远德昭承先启诗书传宗远。
坊上村,位于岗头东偏北3公里,界河南岸。元末(1333—1368年),孙氏迁此定居,并开设店房,俗称店坊子,后因地势较高,渐演为坊上。孙姓字辈排序: 兆长其祥、庆宜召丝(思)。
东官庄村,位于岗头东北3.5公里,界河至朱村公路西侧。清初(1644—1661年),孙氏等姓迁此建村,名官庄,后因重名,改称东官庄。
孙阁村,位于岗头西4公里,济宁至微山公路南侧。明洪武二年(1369年),孙氏由山西洪洞县迁此建村,名孙家楼,1982年因重名,更为孙阁。
田桥村,位于滨湖镇东南方向,与级索镇赵坡村相邻。孙姓字辈:开汉钦承玉 敬星金彦明。传说是洋汶搬来。

姜桥村,地处滕州的西南,西临微山湖,为枣庄滕州与济宁微山二市二县的交界之处。姜桥村,村子800年历史,村子里有座泰山奶奶庙,碑文记载该庙建于明朝。田地有:西坡,北坡,东坡,北常森,费霖,孙霖,架子地,杨庄西,二十七,蒋坑湖茬子地等。
张汪镇辛集村,位于张汪镇西北5.1公里,木石至西岗铁路专用线北侧。元大德年间(1297—1307年),夏、孙二氏迁此建村,因村设集市,名夏孙集;后由夏孙谐音为辛,渐演为辛集村。
渊子涯村,位于张汪镇南6公里,小魏河西侧。明嘉靖四十五年(1566年),孙、姜、李、高、刘、张六姓于此建村,议取村名六家村,后以村临薛河中游的深渊,改称渊子涯村。
孙庄村,位于镇西偏北3.1公里。明洪武二年(1369年),孙氏由山西洪洞县迁居青州益都县;长公兴祖来滕授任教谕,居东寺院村;清雍正年间(1723—1735年),十三世祖永美迁此建村,名孙庄村,现隶属俞河涯村村委会。
西周楼村,位于张汪镇西南3.2公里,小苏河、三八河之间。明洪武年间(1368—1398年),周氏迁此建村,名周楼村,继有孙、王、杨、赵诸姓迁入,仍用原名,1982年因重名,改为西周楼村。
大孙楼村,位于张汪镇东0.8公里,344省道南侧。明嘉靖年间(1522—1566年),孙氏自青州益都迁此建村,名孙楼,1982年因重名,更为大孙楼村。孙姓字辈:殿玉凤青(传)作(福)友(远)崇高。
皇殿岗村,位于张汪镇东2公里,344省道南侧,古薛国故城中心。此为薛城故址。夏商时,奚仲封于薛,周武王封任姓之后畛于薛,战国时,齐封婴于薛,隋代以后,均为滕县属地,城垣久经战火,毁于战乱,1951年—1955年曾划归薛城县,1957年曾为薛城区驻地。明洪武二年(1369年),陈、孙二氏由山西洪洞县迁至古薛国宫室遗址岗子上建村,取名皇殿岗村,沿用至今。皇殿孙氏班辈:永延思宝尚,忠锡毓元英,祥开文成广,景宪德肇兴,宏翰绍明敬,启瑞佑咸昌。
羊庄镇前沙冯村,为避祸乱由五世承宗公众兄弟十数人,率族众离开故里白庄,徙居今滕州市羊庄镇沙棚(沙冯)村。沙棚孙氏前五世辈份“振、汉、士、光、承”五字,沙棚孙氏班辈从十四世起,在三修族谱时续有二十字:秉学彦化东、家祥保隆平,文昌兴志运、奇玉振朝中。一九九四年四修族谱时又续二十字,接“中”字起为:宜修慎思远、鼎亚浩冠鸿,伟韬耀华宇、繁厚衍泽圣。
大北塘村,溯至始祖旺公于明初由山西洪桐来滕,居于城南寺院村,二世铿公长支迁至滕西大彦村,康熙年间第九世分支迁至羊庄镇的大北塘。


老君院,据老君庙庙碑载,“该庙肇于唐代,迄今已千年矣”。明末有刘、葛二姓依庙定居。清乾隆年间,孙、杨、徐、关等姓相继迁来,渐成村落,命名为老君院。
这些聚居地不仅体现了孙姓人口的分布密度,也反映了滕州孙姓在不同类型社区中的融入程度——既有传统农业村庄,也有逐渐城市化的街道社区。
滕州作为孙姓的重要聚集地,其孙氏村落星罗棋布,源流清晰,支系繁多。从西北的奎子村到滨湖的孙阁,从姜屯的孙村到羊庄的沙棚村,孙氏族人在滕州这片土地上辛勤耕耘,绵延生息,形成了独具特色的家族文化和地域历史。这份名录,不仅是对孙姓家族在滕州发展轨迹的一次梳理,也是对地方历史文化遗产的一份记录。
当外迁的孙氏族人回到滕州寻根,他们仍能按族谱上的辈分字找到自己的位置。散落各地的孙姓村落如星罗棋布,连成一张跨越时空的血脉网络。正如村口古槐的年轮,每一圈都记载着一段迁徙与定居的故事。
资料来自互联网,综合整理信息,信息或有不全或有瑕疵,仅供参考。还有部分孙姓分布区域,没有完全统计,望孙氏族人看到后留言评论区,予以补充,谢谢!整理不易,不到之处,请谅解。
#孙姓#祖恩勿忘,团结族人。
#孙姓故事汇#发扬寻根问祖的传统美德。
参考资料:百科
关注我,了解更多精彩内容,学习家谱文化。我是专注于孙姓寻根文化的宗谱寻根。传播家谱文化,传播正能量。
