

Baylis–Hillman反应,是指 α,β-不饱和化合物与亲电试剂(醛、酮)在合适的催化剂作用下,生成烯烃 α-位加成产物的反应。催化剂一般采用 DABCO。这一反应又被称为 Morita–Baylis–Hillman 反应,或者简称为 MBH 反应。这一反应名称得名自日本化学家 Ken-ichi Morita、英国化学家 Anthony B. Baylis 和德国化学家 Melville E. D. Hillman。
反应底物中的亲电试剂可以是醛、亚胺、亚胺盐以及活化的酮。α,β-不饱和化合物(活化烯烃)可以是丙烯酸酯、丙烯醛、乙烯基酮、丙烯腈、α,β-不饱和砜、亚砜、亚胺以及 α,β-不饱和环烯酮等缺电子烯烃。

除 DABCO 可作为催化剂外,其他的叔胺和叔膦乃至硒酚锂等弱亲核试剂也可以用于催化这个反应。
Baylis–Hillman反应具有如下特点:
1. 反应原料廉价,比较易得。
2. 反应具有原子经济性。
3. 反应产物具有多个可以进一步反应,进行继续转化的官能团。
4. 环境友好,反应用到的催化剂主要是有机小分子催化剂,从而可以避免通常情况下,不对称催化反应中可能用到的金属离子。
5. 反应条件温和,多数反应在室温条件下就可以进行。
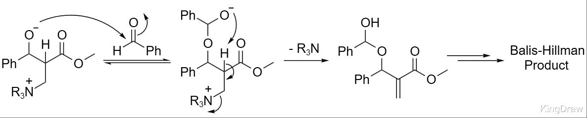
反应机理:此反应的关键步骤是胺催化剂加成到活性烯烃上形成稳定的亲核阴离子。此亲核阴离子加成到醛上,随后胺催化剂消除得到产物。

其他的氮亲核阴离子也可以参与此反应,如在一些反应中 DMAP 和 DBU 比 DABCO 的效果还好:

对于芳香醛在极性,非极性和质子性溶剂条件下,都确定了反应的速度决定步骤,首先是 DABCO 和丙烯酸酯的加成,而后是和醛的反应。基于反应速率数据,Tyler McQuade 最近提出 (J.Org. Chem.2005, 70, 3980.DOI),以下有半缩醛参与反应的机理。


内容来源:https://www.organic-chemistry.org
