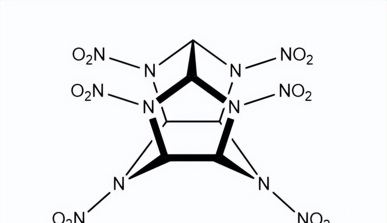
中国新型炸药CL-20的横空出世,无疑在全球军备格局中投下了一枚重磅炸弹。 港媒报道中关于“馒头”的描述虽然略显夸张,但其背后蕴含的科技突破却不容忽视。CL-20,全称六硝基六氮杂异伍兹烷,其能量密度之高,爆炸威力之强,堪称炸药领域的里程碑式成就。这种新型炸药的出现,不仅提升了中国的国防实力,更引发了国际社会对新型高能炸药研发和军备竞争的广泛关注。
CL-20的突破并非偶然,而是中国长期坚持科技创新、持续投入科研的必然结果。 自上世纪70年代末开始,中国科学家就致力于高性能炸药的研究,在国际竞争日益激烈的环境下,力求突破技术瓶颈,提升武器装备的效能。这种持之以恒的努力,最终结出了丰硕的果实。于永忠院士带领的团队克服了无数技术难题,最终在实验室合成了CL-20样品。这不仅是科学上的突破,更是对国家实力的巨大贡献。

然而,CL-20的成功并非一蹴而就,其研发过程充满了挑战。 早期实验室合成的CL-20样品,稳定性差,难以满足实际应用的需求。 这就好比一把锋利的宝剑,却裹挟着随时可能爆炸的危险,难以驾驭。科研团队面临着如何提高其稳定性,以及如何降低生产成本的巨大难题。而正是这个看似不起眼的馒头,为解决这一难题提供了意想不到的线索。
馒头在CL-20研发中的作用并非直接作为原料,而是其碳化后的产物为CL-20的改进提供了关键思路。 意外发现的碳化馒头,其化学特性与石墨烯惊人相似,可以作为优良的改性剂,有效提升CL-20的稳定性,并增强其爆炸威力。这就好比为这把宝剑装上了精巧的剑鞘,既保证了其锋利,又消除了其潜在的危险。这一发现,不仅解决了CL-20的稳定性问题,更降低了生产成本,让其大规模生产成为可能。 这绝非简单的“巧合”,而是科研人员敏锐的观察力和创新思维的体现。

CL-20的成功,也对国际军备竞争产生了深远的影响。 这种新型炸药的出现,打破了现有炸药技术的格局,将对未来武器装备的设计和研发产生革命性的影响。各国都将重新审视自身的高能炸药技术,并加紧研发新型高能材料,以应对日益复杂的国际安全形势。 这无疑将加速全球军备竞赛,并对国际战略格局产生深远的影响。
然而,CL-20技术的突破也引发了国际社会的担忧。 高能炸药的应用,难免会增加战争的破坏性和杀伤力。 国际社会需要加强合作,制定相关的国际条约和规范,以防止CL-20等高能炸药的滥用,维护全球战略稳定。 同时,也需要加强国际间的科技交流与合作,共同探索高能材料的和平利用,避免其被用于军事目的,从而防止其成为加剧冲突的导火索。

除了军事领域,CL-20技术的应用前景也十分广阔。 例如,在民用爆破、能源开采等领域,CL-20的高能量密度和高爆速特性,可以显著提高工作效率,降低成本。 当然,在这些领域推广CL-20也需要严格的安全措施和监管,以确保其安全可靠地应用。 未来,随着科技的不断发展,CL-20及其相关技术,将会在更多领域发挥重要作用。
总而言之,CL-20的成功,不仅是科技创新的一次重大突破,更是中国科技实力的一次有力展现。 它不仅提升了中国的国防实力,也为全球炸药技术的发展方向指明了新的道路。 然而,我们也必须清醒地认识到,科技进步是一把双刃剑。 如何有效地控制和利用高能炸药技术,维护全球和平与安全,是摆在我们面前的一个重要课题,需要国际社会共同努力,才能确保科技进步造福人类,而非成为威胁人类安全的因素。 这不仅关乎国家安全,更关乎人类的未来。

评论列表