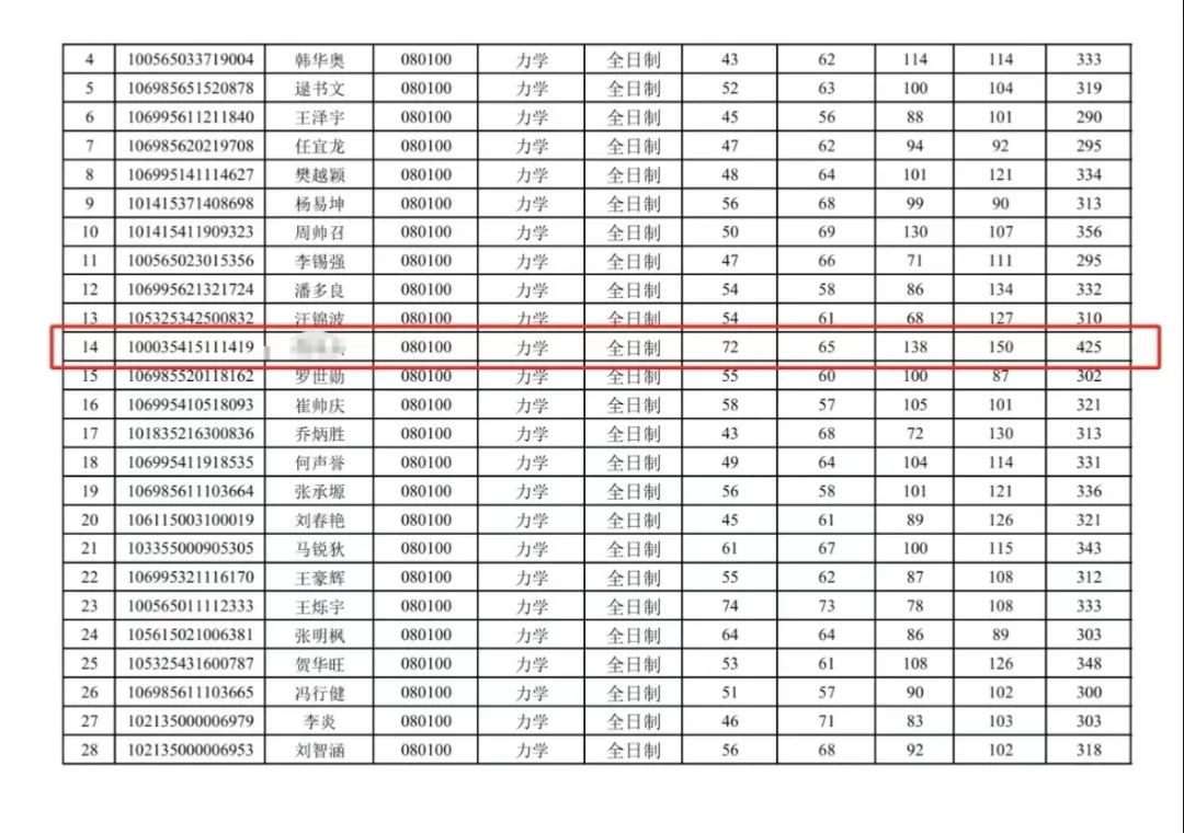
总分425,专业课满分,还是清华大学的初试,可以说已经是相当厉害, 按理说进入复试,应当是很大几率上会被录取。

(图源网络)
但是在最近兰州大学的调剂名单中,有人发现这位同学的名字出现在其中,很难不推测,是不是复试中出现了问题,让这位同学被刷掉了

(图源网络)
不过也有评说排在第二的同学有论文还有专利,并且英语口语也非常好

(图源网络)
现在清华大学还没有公布拟录取名单,因此也不知道今年的录取情况到底如何,排在第二的同学是否成功上岸。
无论结果如何,细看这些顶尖名校的复试要求,大多对于综合素质的要求非常高,例如清华大学的面试要求,复试和初试的成绩各占一半

而在复试中,复试笔试只占5%,面试占了45%!更有同学说,清华大学实际上初试和复试占比应该是0比100%,因此在之后的名校竞争中,更看重本科时候的综合素质以及在复试中的综合表现。
因此如果你有想报考名校的想法,一定要提前准备,例如
🔎准备英语
很多同学都在复试前期才开始突击英语,如果我们提前准备,养成习惯,相信一口流利的英语口语,绝对能成为你在复试之中的优势
🔎注重本科专业的学习,拓展自己的综合素质
如果有了想法,一定要找到对的方向,并付出努力,如果有扎实的专业知识,不仅在初试中可以取得不错的成绩,也可以在备考复试时从容应对,向导师展示自己的潜力。