

贝克曼重排反应(Beckmann rearrangement)是一个由酸催化的重排反应,反应物酮肟在酸的催化作用下重排为酰胺。若起始物为环肟,产物则为内酰胺,例如环己酮肟在硫酸作用下重排生成己内酰胺。此反应是由德国化学家恩斯特·奥托·贝克曼发现并由此得名。
传统的 Beckmann 重排反应中,用硫酸、盐酸/醋酸酐/醋酸体系或者多聚磷酸反应,往往需要较高的温度(大于130℃), 近年来,化学家们发展了许多 Lewis 酸,如 AlCl3、InCl3 等催化的 Beckmann 重排反应,或者微波促进的Beckmann重排,都可以在较温和的条件下进行反应。
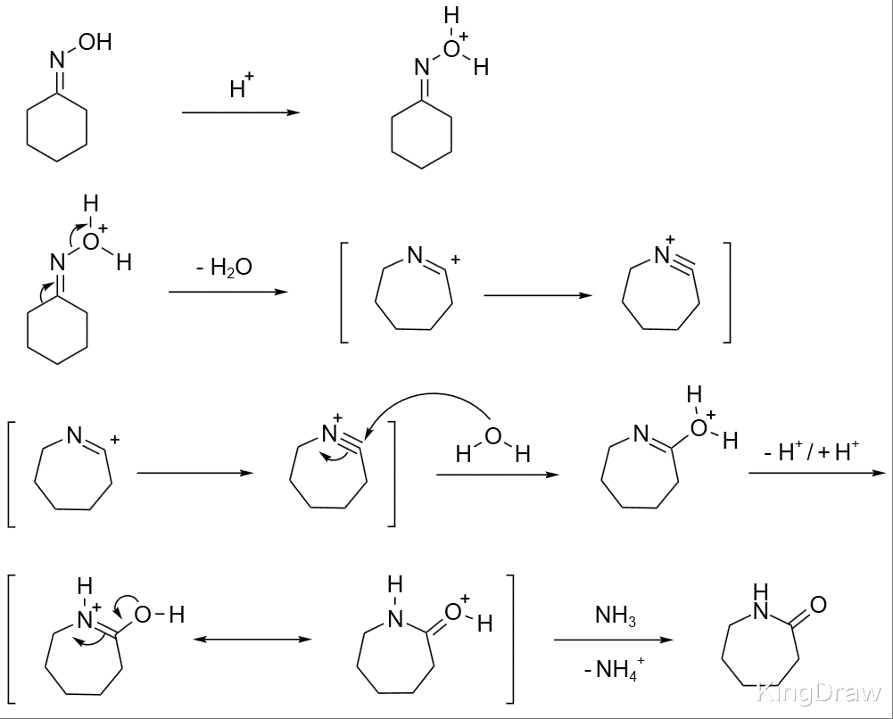
反应机理:贝克曼重排反应是典型的亲核重排,在酸作用下,肟首先发生质子化 ,然后脱去一分子水,同时与羟基处于反位的基团迁移到缺电子的氮原子上,烷基的迁移并推走推走羟基形成氰基,然后该中间体被水解得到酰胺。在酮肟分子中发生迁移的烃基与离去基团(羟基 )互为反位。在迁移过过程中迁移碳原子的构型保持不变。
该反应在工业上有重要应用,环己酮与羟胺反应得到环己酮肟后可重排得到己内酰胺,此为尼龙-6的单体。


内容来源:https://www.organic-chemistry.org
