

Arndt-Eistert反应,是羧酸的同系化(增加一个 CH2)反应,酰氯与重氮甲烷反应,然后在氧化银催化下与水共热得到增加一个碳的羧酸。是一种非常有用的增长羧酸碳链的合成方法。
该反应适用范围较广,可耐受广泛的非质子化官能团,例如烷基、芳基和双键等。质子化的官能团能和重氮甲烷或重氮酮反应因而不适用于该反应。
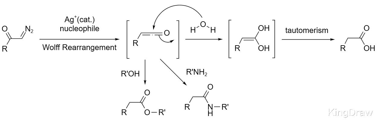
反应机理:反应第一步是使酸转化为相应的酰氯,酰氯与重氮甲烷作用生成重氮酮。

在第二步,当用水和氧化银,或苯甲酸银和三乙胺处理重氮酮的时候发生重排,叫做 Wolff 重排。有水存在时得到酸,有醇存在时得到酯,当有氨或胺存在时则生成酰胺。

该方法目前已广泛用于合成 β-氨基酸。β-氨基酸的低聚物不同于 α-多肽,无论在溶液中还是固态都展示出相当好的折叠成明确二级结构的能力。β-氨基酸砌块可用 α-氨基酸通过 Arndt-Eistert 反应来合成。
相关文献:
Synthesis of Fmoc-β-Homoamino Acids by Ultrasound-Promoted Wolff Rearrangement
A. Müller, C. Vogt, N. Sewald, Synthesis, 1998, 837-841.

The Arndt-Eistert Reaction in Peptide Chemistry: A Facile Access to Homopeptides
J. Podlech, D. Seebach, Angew. Chem. Int. Ed., 1995, 34, 471-472.

Improved Arndt-Eistert Synthesis of α-Diazoketones Requiring Minimal Diazomethane in the Presence of Calcium Oxide as Acid Scavenger
V. Pace, G. Verniest, J.-V. Sinisterra, A. R. Alcántara, N. De Kimpe, J. Org. Chem., 2010, 75, 5760-5763.

Trimethylsilyldiazomethane in the preparation of diazoketones via mixed anhydride and coupling reagent methods: a new approach to the Arndt-Eistert synthesis
J. Cesar, M. Sollner Dolenc, Tetrahedron Lett., 2001, 42, 7099-7102.
内容来源:https://www.organic-chemistry.org
