
文|万象硬核
编辑|万象硬核
«——【·前言·】——»
传统化石能源的大量开采利用导致了全球能源危机、气候变化及环境污染等问题。风、光等新能源因具有清洁可再生的特点,而受到了广泛的重视和迅速的发展。
风电和光伏并网给电力系统带来了更多的随机扰动。随着风电光伏占比的提高和传统火电机组占比的下降,电力系统将逐步演变为低惯性弱阻尼的动态系统,其结果将出现严重的频率波动问题,对其调频能力提出了更高的要求。与传统机组相比,电池储能具有双向吞吐、快速响应并便于精准控制等优势,因而具有较好的调频性能。

储能电站参与一次调频分析
储能电站主要由储能电池组(Batterystorage,BS)、能量转换系统(Powerconversionsystem,PCS)、电池管理系统(Batterymanagementsystem,BMS)和后台控制中心(Supervisorycontrolanddataacquisition,SCADA)等组成。储能电池组主要由数量众多的储能单元并联构成,储能电站拓扑如图1所示。

电池储能参与一次调频就是通过监测系统频率偏差的大小、方向和变化速率,采用不同的控制策略来改变电池储能出力的大小和方向,从而影响系统频率变化的过程。目前,虚拟下垂与虚拟惯性是电池储能参与一次调频的基本控制策略。虚拟下垂控制下储能出力与频率偏差成比例,可在一次调频期间全程发挥作用。虚拟惯性控制下储能出力
与频率变化率成比例,分为虚拟正惯性控制和虚拟负惯性控制,前者能抑制频率恶化,后者能助力频率恢复。

在频率波动跃出调频死区时,通过计算调频参与因子,可将储能单元分为主、辅两类。
在调频初期,频率变化率较大,为快速遏制频率恶化,主、辅单元都以虚拟下垂与虚拟正惯性方式出力;在频率恶化得到遏制后,频率偏差接近最大值,主、辅单元都以虚拟下垂方式出力,根据频差大小动态调整辅助单元的出力系数;在频率恢复期间,为助力频率快恢复,主、辅单元都以单元以虚拟下垂与虚拟负惯性方式出力。
在非调频阶段,依据超短期负荷预测计算储能单元SOC恢复期望系数,考虑电网承受负荷波动的能力计算限制系数,优先对调频主力单元的SOC进行预恢复处理。储能电站参与电网一次调频的原理方框图如图2所示。

图2中,s为算子;ΔPL(s)为负荷扰动量;Δf(s)为区域电网频率偏差;ΔPG(s)为调频机组出力增量;ΔPB(s)为电池储能出力增量;KG为传统发电机组的单位调节功率;TB为电池储能惯性时间常数;M为电网惯性时间常数;D为阻尼系数;FHP为再热器增益;TG、TRH和TCH分别为传统调频机组的调速器时间常数、再热器时间常数和汽轮机时间常数。
基于参与因子的一次调频策略
本控制策略是当系统频率跃出调频死区时,储能电站依据改进的调频出力系数关系式参与调频,同时定义参与因子λ确定主、辅出力单元。由图1知储能电站内部由储能单元并联组成,故以储能单元为对象,研究其在调频出力过程中基本控制策略。虚拟下垂控制模拟传统机组一次调频的下垂特性,当系统频率跃出调频死区后,即控制储能出力。储能单元以虚拟下垂控制调频出力,响应表达式为

式中,ΔPBi-1为第i组储能单元虚拟下垂出力功率增量;KBi为该储能单元虚拟下垂出力系数;Δf为系统频率偏差;fd为调频死区。虚拟惯性控制模拟传统调频机组的惯性响应,依据系统频率变化率调节出力功率,从而增大系统惯量。储能单元以虚拟正惯性调频出力,函数表达式为:

式中,ΔPBi-2为第i组储能单元虚拟正惯性出力功率值;MPi为该储能单元虚拟正惯性出力系数;d(Δf)∕dt为系统频率变化率;VP为虚拟正惯性频率变化率死区。
储能单元以虚拟负惯性调频出力,函数表达式为:

式中,ΔPBi-3为第i组储能单元虚拟负惯性出力功率值;MNi为该储能单元虚拟正惯性出力系数;VN为虚拟负惯性频率变化率死区;通过以上分析,虚拟下垂控制可有效调节频率偏差,虚拟正惯性可抑制频率偏差恶化速率,虚拟负惯性控制可加快频率恢复速率。
整个调频过程中储能单元出力由虚拟下垂、虚拟正惯性与虚拟负惯性3部分组成,可以表示为

式中,ΔPBi为第i组储能单元调频功率值。目前已有的研究中,文献虽提出协调出力
策略,但其控制策略简单且储能出力系数变化曲线为一次线性函数,其控制策略自适应程度低,调频效果不佳。本文将出力系数变化曲线视Logistic曲线,如图3所示。储能充放电系数采取分段函数,分别可以表示为:

式中,Kdiss与Kch分别为储能单元放电与充电系数;KBmax为储能单元最大调节功率;P为储能单元额定出力功率;n为调节曲线变化趋势系数;本文将储能单元SOC设定成5个区间,最小值SOCmin、较小值SOClow、较大值SOChigh和最大值SOCmax,分别取值为0.15、0.45、0.55和0.9。

由图3得知,出力系数大小受储能SOC影响,以放电系数Kdiss为例,当SOC较高时,储能单元出力系数也较大,若此时储能单元SOC较高且在调频过程中变化速率较慢,则表明其能以高功率在长时间内出力调频。故分析SOC变化率计算公式,如式(7)所示,可知储能单元额定容量越大,其SOC变化率越低,即储能出力系数变化速率越慢。

式中,SOCt为储能单元初始荷电状态;SOCt+Δt为经过Δt时间后储能单元荷电状态;ΔPB为储能单元调频功率;EN为储能单元额定容量。
综合以上分析,为使储能电站高效参与一次调频过程,同时改善SOC保持效果,在不同调频阶段动态分配各储能单元出力任务,本文依据储能单元SOC与其额定容量设定参与因子计算式为:

式中,λ为参与因子;SOCi为第i组储能单元荷电状态;ENi为第i组储能单元额定容量;N为储能电站额定总容量;ω1、ω2为比例系数。
依据式(8)计算出各储能单元参与因子,数值越大,其动态参与度越高,表明该储能单元在当前调频阶段调频出力系数较大且能在较长出力时间内维持高水平出力状态,设定为调频主力单元,反之,设定为调频辅助单元。此时储能电站调频出力功率值为:

式中,ΔPB-master为主力单元调频出力功率;αΔPB-slave为辅助单元调频出力功率;α代表辅助单元动态参与系数,通过电网频率偏差实时调整大小,在调频阶段α的数学函数如式(10)所示,其变化曲线如图4所示。


由图4可知,当系统频率处于紧急状态时(|Δf|≥Δflim),辅助单元与主力单元共同以足额功率调频出力。当系统频率处于次紧急状态时(fd<|Δf|<Δflim),辅助单元动态配合主力单元调频出力。相较于直接投切辅助单元出力,不仅降低了储能单元启停次数,同时也避免了因调频出力大小突变而引发频率阶跃现象,实现了平滑过渡。
故基于参与因子,在调频阶段的不同时刻,协调两类储能单元采取不同的调频出力方式。提出的控制策略如图5所示,以Δf<0,即储能电站释放有功功率为例进行说明。
取调频死区fd=0.033Hz,当频率偏差跃出调频死区时,储能电站进入一次调频状态。

当系统进入调频死区且满足Δf<0时,根据式(8)计算参与因子确定储能电站内部主辅出力单元,根据式(10)确定辅助单元的动态参与系数。
为防止虚拟惯性控制频繁触发造成频率振荡,设置虚拟正惯性死区(VP)与虚拟负惯性死区(VN)。当频率变换率df<0(或df>0)且频率变化率处于死区内,即df>-VP时(或df<VN),控制调频单元虚拟下垂出力。

为最大程度上抑制频率恶化速度与减小频率偏差最大值,当df<-VP时,调节储能单元以虚拟正惯性与虚拟下垂出力。
为加快频率恢复速率,当df>VN时,由于虚拟正惯性具有遏制频率恢复的缺点,故控制储能单元以虚拟负惯性与虚拟下垂出力。

在储能电站非调频期间,为提高储能容量利用率,同时为应对下阶段的初始负荷波动。基于超短期负荷预测优先对调频主力单元SOC进行预恢复。
基本控制思路:以储能单元SOC与SOC恢复目标值的差值ΔSOC制定SOC恢复期望系数,考虑到电网承受负荷波动能力,以电网频率偏差制定SOC恢复限制系数,二者乘积为SOC实际恢复系数。
首先分析储能单元自身恢复需求,不同ΔSOC值对应不同的恢复需求。以放电恢复期望系数为例,ΔSOC值越小,其恢复期望系数也越小。设定ΔSOC为自变量,考虑到储能恢复时间与恢复速率限制,将ΔSOC取值范围设定为[-0.15,0.15],构建式(11)~(12)所示充放电恢复期望系数(Rch/Rdiss)关系式

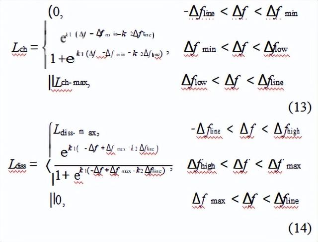
其次在非调频期间对储能SOC进行预恢复,等同对电网附加负荷波动。为保证期间内系统频率不跃出死区,需对恢复速率进行限制,构建如式(13)~(14)所示充放电恢复限制系数关系式

式中,k1、k2为控制函数调节系数;本文将频率偏差Δf划分5个区间,最小值Δfmin、较小值Δflow、较大值Δfhigh、最大值Δfmax与界限值Δfline。
放电恢复期望系数与放电恢复限制系数对应,充电恢复期望系数与充电恢复限制系数应,将其两两相乘得到实际恢复系数如式(15)所示。

式中,PL为负荷预测值;Pd为负荷扰动死区;实际恢复系数Krec关于ΔSOC、Δf的曲线如图6所示。以充电恢复为例,在ΔSOC较小时,SOC恢复需求较大,若此时Δf>0,可以较大的实际恢复系数进行恢复。若此时Δf<0,为使频率不再次跃出死区,故以较小的实际恢复系数进行恢复。


在确定实际恢复系数后,设定SOC恢复时的储能出力额定功率PE,依据式(16)得到储能恢复实际出力值ΔPE。

综合以上分析,当系统频率处于调频死区时,依据超短期负荷预测,制定了如图7所示的储能电站SOC预恢复控制策略,以PL>0为例进行说明。

当系统频率进入调频死区时,基于超短期负荷预测确定储能单元SOC预恢复动作。当PL>0且不在负荷死区时,调频主力单元SOC需进行充电恢复。
当储能主力单元SOC(MSOC)满足大于SOC恢复目标值PSOC时,即此时无需进行预恢复处理。否则,依据式(11)、式(13)计算出SOC实际恢复系数。优先对主力单元SOC进行预恢复,当其SOC恢复到目标值后,控制中心发出对辅助单元SOC预恢复动作指令。
评价指标
为了系统化评估本文协调控制策略相较于其他常规策略的有效性与显著优势,针对系统中常见的两种工况(阶跃负荷扰动工况与连续负荷扰动工况)分别制定评价指标。
(1)对于阶跃负荷扰动工况,定义Δfmax为最大频率偏差值、Δfste为稳态频率偏差值、tmax为达到频率偏差最大值对应时刻,tste为达到稳态频率偏差值对应时刻。本文以上述四个参数为基础,设定频率下降速度指标Vdec=|Δfmax|/tmax。

设定频率恢复速度指标Vrec=(|Δfmax|−|Δfste|)/(tste−tmax)。Δfmax值越小,表明频率恶化程度越小。Δfste值越小,表明频率恢复效果越好。Vdec值越小,表明频率恶化速度越慢。Vrec值越大,表明频率恢复速度越快。
(2)对于连续负荷扰动工况,定义频率偏差均方根与SOC均方根为评价指标,如式(17)~(18)所示

式中,Δfi为数据采样i时刻频率偏差值;SOCi为数据采样i时刻储能单元SOC值;SOCref为理想值,本文取0.5。Δfrms值越小,表明频率波动越小。SOCrms值越小,表明储能SOC保持效果越好。
仿真分析
在Matlab/Simulink环境下搭建如图1所示的区域电网模型。设定传统调频机组额定容量为100MW,储能电站额定参数为1MW/0.5MW·h,其中包含三组储能单元,额定容量分别为0.25MW·h、0.15MW·h、0.10MW·h,为保证仿真验证的有效性,控制各策略下储能初始能量一致。

设定三组储能单元的起始SOC分别为0.4、0.5与0.65,对比策略储能初始SOC为0.5。其余参数标幺值计算均以机组额定容量与电网额定频率(50Hz)为基准值。为验证本文所提控制策略的优势性,采取两种不同的工况进行仿真。
在系统中加入标幺值为0.015的阶跃负荷扰动,对比本文策略、定K法、变K法与无储能法的评价指标。对应的频率偏差仿真结果如图8所示,储能SOC变化曲线如图9所示。

由图8可知,系统在100s发生阶跃负荷扰动时,4种控制方法下系统频率均发生急剧下降。由于传统调频机组反应速度慢,无储能法频率恶化程度最大,其余3种方法均含储能电池辅助调频,恶化程度相对较小。
定K法全程以最大下垂系数出力,其频率偏差最大值小于变K法。由于在频率恶化初期,本文策略控制储能单元采取虚拟下垂与虚拟正惯性控制同时出力,在最大程度上抑制了频率恶化,故频率偏差值最小。
在频率偏差达到最大值进入恢复期后,切换虚拟下垂与虚拟负惯性控制同时出力,仿真结果表明有效加快了频率恢复速率。

由图9可知,将储能电站整体作为研究对象,定K法相较于变K法牺牲了SOC保持效果,更加追求改善调频效果,在长时间出力调频情况下,储能SOC保持效果不佳,容易出现过充过放问题。本文协调策略通过参与因子,将储能单元分为主辅出力单元,确定I组储能单元与II组储能单元为调频主力单元,III组为辅助单元。
阶跃扰动下动态参与系数曲线如图10所示,在系统发生阶跃扰动后,由图10可知,III组储能单元出力系数随频率偏差动态调整,当频率处于紧急状态时足额出力,在系统频率得到初步抑制进入次紧急状态后,辅助单元配合主力单元出力。本文策略在保证调频效果的同时,又极大程度上改善了储能SOC保持效果。

调频效果评价指标如表1所示,由表1可知,在阶跃负荷扰动工况下,本文控制策略可有效抑制频率恶化速率,改善了频率频差最大值,虽然频率恢复速率指标对比定K法略有不足,但频率偏差稳态值优于其他方法,仿真结果验证了本文策略可有效应对系统中出现的阶跃负荷扰动。

为验证本文策略对连续负荷扰动的有效性,设置时长为30min的连续负荷扰动,其中包含3个调频周期,负荷扰动曲线如图11所示,各控制方法对应的频率偏差曲线如图12所示,储能SOC变化曲线如图13所示。

由图12可知,在系统处于连续负荷扰动工况时,在前1100s本文策略频率偏差明显优于无储能法、定K法与变K法,后随着储能SOC不断降低,此时为保护电池使用寿命,调频出力降低,故调频效果逐渐变弱,而定K法出力大小不受储能SOC大小限制,虽在短时间内调频效果优于其他方法,但在1300s附近时电池能量消耗殆尽,储能随即退出调频工作,故而导致调频出力功率骤降,使得系统频率产生巨大跌落。
本文策略在调频过程中监测各储能单元的参与因子,实时切换主辅单元,依据系统频率状态变化,动态规划各类储能单元的调频出力任务,在整个连续负荷扰动工况中,综合调频效果最优。

由图13a可知,对比策略在调频死区内,未对SOC进行恢复处理,未能充分利用储能调频容量。由图13b可知,当处于调频死区阶段时,在预测到下阶段初始调频阶段需要进行放电出力调频时,优先对I组与II组主力单元进行充电恢复,为下阶段放电出力调频做准备。
在整个连续负荷调频阶段,由图14可知,在1100s后由于此时各储能单元SOC处于较低值,为防止电池出现过放,牺牲部分调频功率,动态参与系数长期保持最大值。故在此阶段下,本文策略在保证电池使用寿命的基础上,又尽力保证调频效果不低于变K法。

调频效果评价指标如表2所示。由表2评价指标可知,连续负荷扰动工况下,本文策略频率波动指标Δfrms在对比方法中最优,储能SOC维持效果指标SOCrms虽然略低于变K法,但相较于定K法有着明显的优势。综合上述,本文控制策略在应对系统连续负荷扰动时,在改善一次调频效果的同时,也提高了储能电站调频容量利用率,具有实际工程意义。

结语
根据本文提出的储能电站参与一次调频的控制策略,可以得出以下结论。
考虑储能电站内部储能单元组成构造,基于参与因子分为主辅出力单元,辅助单元依据参与系数,在不同系统频率状态下,动态配合主力单元调频出力。仿真结果表明在改善一次调频的基础上,提高了储能SOC保持效果,有利于降低储能电站的运营成本。

将超短期负荷预测引入一次调频过程,在非调频期间,综合考虑储能单元的恢复需求与电网承受负荷波动能力,对储能单元SOC进行预恢复,减缓了下阶段储能电站一次调频压力,提高了储能电站调频容量利用率。